Основные формулы
,
где
-некоторая
функция времени.
.
,
где
- путь, пройденный
точкой за интервал времени
.
Путь
в отличии от
разности координат
не может убывать и принимать отрицательные значения, т.е.
.
.
.
.
.
.
.
,
,
,
где
- линейная
скорость;
и
- тангенциальное и нормальное ускорения;
- угловая скорость;
- угловое ускорение;
- радиус окружности.
или
.
.
,
где
- смещение;
- амплитуда колебаний;
- круговая, или циклическая, частота;
- начальная фаза.
,
.
а) амплитуда результирующего колебания
;
б) начальная фаза результирующего колебания
.
а)
(если разность фаз
);
б)
(если разность фаз
);
в)
(если разность фаз
).
,
где
- смещение
любой из точек среды с координатой
в момент
;
- скорость распространения
колебаний в среде.
,
где
- длина волны.
.
,
где F – сила, действующая на тело.
а) сила упругости
,
где
- коэффициент
упругости (в случае пружины - жесткость);
- абсолютная
деформация
б) сила тяжести
,
в) сила гравитационного взаимодействия
,
где
- гравитационная
постоянная;
и
-
массы взаимодействующих тел;
- расстояние
между телами (тела рассматриваются как материальные точки). В случае гравитационного
взаимодействия силу можно выразить также через напряженность
гравитационного поля:
;
г) сила трения (скольжения)
,
где
- коэффициент
трения;
- сила нормального давления.
,
или для двух тел (
):
,
где
и
- скорости тел
в момент времени, принятый за начальный;
и
- скорости тех же
тел в момент времени, принятый за конечный.
или
.
а) упругодеформированной пружины
,
где
- жесткость
пружины;
- абсолютная деформация;
б) гравитационного взаимодействия
,
где
- гравитационная
постоянная;
и
-
массы взаимодействующих тел;
- расстояние
между ними (тела рассматриваются как материальные точки);
в) тела, находящегося в однородном поле силы тяжести
,
где
- ускорение
свободного падения;
- высота тела
над уровнем, принятым за нулевой (формула справедлива при условии
,
где
- радиус земли).
.
.
,
где
- результирующий
момент внешних сил относительно оси
,
действующих на тело;
- угловое ускорение;
- момент инерции тела относительно
оси вращения.
;
б) обруча (тонкостенного цилиндра) относительно оси, перпендикулярной плоскости обруча (совпадающей с осью цилиндра),
,
где
- радиус
обруча (цилиндра);
в) диска радиусом
относительно
оси, перпендикулярной плоскости диска
.
,
где
- угловая
скорость тела.
,
где
и
- моменты инерции системы тел и угловые скорости вращения в моменты времени,
принятые за начальный и конечный.
,
или
.
ПРИМЕРЫ
РЕШЕНИЯ ЗАДАЧ
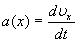
ПРИМЕР 1. Уравнение движения материальной точки
вдоль оси имеет вид
, где
,
.
Найти координату
,
скорость
и ускорение
а точки в момент времени ![]()
РЕШЕНИЕ. Координату
найдем, подставив в уравнение движения числовые значения коэффициентов А,
В и С и времени t:
.
Мгновенная скорость есть первая производная от координаты по времени:
.
Ускорение точки найдем, взяв первую производную от скорости по времени:
.
В момент времени t=2 c^
,
.
ПРИМЕР 2. Тело вращается вокруг неподвижной
оси по закону
, где А=10 рад, B=20 рад/с, С=-2 рад/с
.
Найти полное ускорение точки, находящейся на расстоянии r=0.1м от оси вращения,
для момента времени t=4 с.
РЕШЕНИЕ. Полное ускорение а точки, движущейся
по кривой линии, может быть найдено как геометрическая сумма тангенциального
ускорения
, направленного
по касательной к траектории, и нормального ускорения
,
направленного к центру кривизны траектории (рис. 1):
.

Рис. 1
Так как векторы
и
взаимно перпендикулярны,
то модуль ускорения
.
(1)
Тангенциальное и нормальное ускорения точки вращающегося тела выражаются формулами:
,
, (2)
где
-
угловая скорость тела;
- его
угловое ускорение.
Подставляя выражения
и
в формулу
(1), находим
.
(3)
Угловую скорость
найдем, взяв первую производную угла поворота по времени:
.
В момент времени t=4 с угловая скорость
.
Угловое ускорение найдем, взяв первую производную от угловой скорости по времени:
.
Подставляя значения
и r в формулу (3), получаем
.
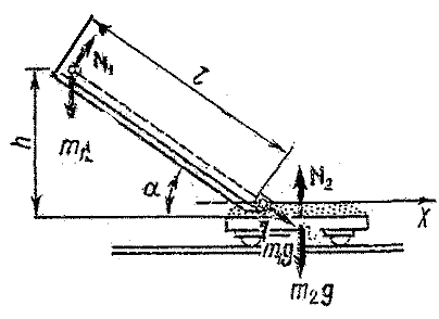
ПРИМЕР 3. Ящик массой m1 =20 кг соскальзывает по идеально гладкому лотку длиной l=2 м на неподвижную тележку с песком и застревает в нем. Тележка с песком массой m2 =80 кг может свободно (без трения) перемещаться по рельсам в горизонтальном направлении. Определить скорость u тележки с ящиком, если лоток наклонен под углом a =30° к рельсам.

Рис.2
РЕШЕНИЕ. Тележку и ящик можно рассматривать как систему двух неупруго взаимодействующих тел. Но эта система не замкнута, так как сумма внешних сил, действующих на систему [ сил тяжести m1g и m2g и силы реакции N2 (рис.2)] , не равна нулю. Поэтому применить закон сохранения импульса к системе ящик-тележка нельзя. Но так как проекция суммы указанных сил на направление оси X, совпадающей с направлением рельсов, равна нулю, то проекцию импульса системы на это направление можно считать постоянной, т.е.
,
(1)
где p1x и p2x – проекции импульса ящика и тележки с песком в момент падения ящика на тележку; p'1x и p' 2x- те же величины после падения ящика.
Выразим в равенстве (1) импульсы тел через их массы и скорости, учитывая, что после взаимодействия оба тела системы движутся с одной и той же скоростью u:
,
или
,
где v1- скорость ящика перед
падением на тележку;
- проекция этой скорости на ось Х. Отсюда
.
(2)
Скорость v1 определим из закона сохранения энергии:
,
где
,
откуда
.
Подставив выражение v1 в формулу (2), получим
.
После вычислений найдем
м/с.
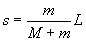
ПРИМЕР 4. На спокойной воде пруда перпендикулярно берегу и носом к нему стоит лодка массой M и длиной L. На корме стоит человек массой m.
На какое расстояние s удалится лодка от берега, если человек перейдет с кормы на нос лодки? Силами трения и сопротивления пренебречь.

Рис.3
РЕШЕНИЕ. Согласно следствию из закона сохранения импульса внутренние силы системы тел не могут изменить положение центра масс системы. Применяя это следствие к системе человек-лодка , можно считать, что при перемещении человека по лодке центр масс системы не изменит своего положения, т.е. останется на прежнем расстоянии от берега. Пусть центр масс системы человек-лодка находится на вертикали, проходящей в начальный момент через точку С1 лодки (рис. 3), а после перемещения лодки – через другую ее точку С2. Так как эта вертикаль неподвижна относительно берега, то искомое перемещение s лодки относительно вертикали. А это последнее легко определить по перемещению центра масс О лодки. Как видно из рис.3, в начальный момент точка О находится на расстоянии а1 слева от вертикали, от перехода человека - на расстоянии а2 справа от нее. Следовательно, искомое перемещение лодки
.
(1)
Для определения а1 и а2 воспользуемся тем, что относительно центра масс системы моменты сил тяжести лодки и человека должны быть равны. Для точки С1
,
откуда
.
Для точки С2
,
откуда
.
Подставив полученные выражения а1 и а2 в (1), найдем
или
.
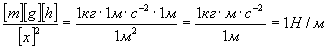
ПРИМЕР 5. При выстреле из пружинного пистолета вертикально вверх пуля массой m=20 г поднялась на высоту h=5м. Определить жесткостьk пружины пистолета, если она была сжата на x=10 см. Массой пружины пренебречь.
РЕШЕНИЕ. Система пуля-Земля (вместе с пистолетом) является замкнутой системой, в которой действуют консервативные силы – силы упругости и силы тяготения. Поэтому для решения задачи можно применить закон сохранения энергии в механике. Согласно ему полная механическая энергия E1 системы в начальном состоянии (в данном случае перед выстрелом)равна полной энергии E2 в конечном состоянии (когда пуля поднялась на высоту h), т.е.
или
, (1)
где Т1, Т2, П1 и П2 – кинетические и потенциальные энергии системы в начальном и конечном состояниях.
Так как кинетические энергии пули в начальном и конечном состояниях равны нулю, то равенство (1) примет вид
.
(2)
Если потенциальную энергию в поле сил тяготения Земли на ее
поверхности принять равной нулю, то энергия системы в начальном состоянии будет
равна потенциальной энергии сжатой пружины, т.е.
,
а в конечном состоянии - потенциальной энергии пули на высоте h , т.е.
.
Подставив выражения П1 и П2 в формулу
(2), найдем
,
откуда
.
(3)
Проверим, дает ли полученная формула единицу жесткости k.
Для этого в правую часть формулы (3) вместо величин, подставим их единицы *:
.
Убедившись, что полученная единица является единицей жесткости (1 Н/м), подставим в формулу (3) значения величин и произведем вычисления:
.
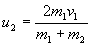
ПРИМЕР 6. Шар массой m1, движущийся горизонтально
с некоторой скоростью v1, столкнулся с неподвижным шаром массой m2.
Шары абсолютно упругие, удар прямой, центральный. Какую долю
своей
кинетической энергии первый шар передал второму?
РЕШЕНИЕ. Доля энергии, переданной первым шаром второму, выразится соотношением
,
(1)
где
кинетическая энергия первого шара до удара;
и
- скорость и
кинетическая энергия второго шара после удара.
Как видно из формулы (1), для определения e надо найти
. При ударе абсолютно
упругих тел одновременно выполняются законы сохранения импульса и механической
энергии. Пользуясь этими законами, найдем:
,
(2)
.
(3)
Решим совместно уравнения (2) и (3):
.
Подставив это выражение
в формулу (1) и сократив на
и
, получим
.
* Единицу какой либо величины принято обозначать символом этой величины, заключенной в квадратные скобки.
Из найденного соотношения видно, что доля переданной энергии зависит только от масс сталкивающихся шаров. Доля передаваемой энергии не изменится, если шары поменять местами.
ПРИМЕР 7. Через блок в виде
сплошного диска, имеющего массу
г.
(рис.4), перекинута тонкая гибкая нить, к концам которой подвешены грузы
с массами
=100
г. и
=200г. Определить
ускорение, с которым будут двигаться грузы, если их предоставить самим себе?
Трением и массой нити пренебречь.

РЕШЕНИЕ. Воспользуемся основными
уравнениями динамики поступательного и вращательного движения. Для этого рассмотрим
силы, действующие на каждый груз в отдельности и на блок. На первый груз действуют
две силы: сила тяжести
и сила упругости (сила натяжения нити)
.
Спроецируем эти силы на ось
,
которую направим вертикально вниз, и напишем уравнение движения (второй закон
Ньютона):
.
(1)
Уравнение движения для второго груза:
.
(2)
Под действием двух моментов
сил
и
относительно оси, перпендикулярной плоскости чертежа, блок приобретает угловое
ускорение
. Согласно основному
уравнению динамики вращательного движения
,
(3)
где
,
- момент инерции блока (сплошного диска) относительно оси Z.
Согласно третьему закону Ньютона
,
.
Воспользовавшись этим, подставим в уравнение (3) вместо
и
выражения
и
,
получив их предварительно из уравнений (1) и (2):
.
После сокращения на r и перегруппировки членов найдем
.
(4)
Отношение масс в правой части
формулы (4) есть величина безразмерная. Поэтому массы
,
и
можно выразить в граммах, как они даны в условии задачи. Ускорение
надо выразить в единицах СИ. После подстановки получим
![]()
ПРИМЕР 8. Маховик в виде сплошного
диска радиусом R=0,2м и массой m=50кг раскручен до частоты
и предоставлен сам себе. Под действием сил трения маховик остановился через
t=50с. Найти момент М сил трения.
РРЕШЕНИЕ. Для решения задачи воспользуемся основным уравнением динамики вращательного движения в виде
,
(1)
где
-
изменение момента импульса маховика, вращающегося относительно оси Z, совпадающие
с геометрической осью маховика, за интервал времени
;
- момент внешних
сил (в данном случае момент сил трения), действующих на маховик относительно
той же оси.
Момент сил трения можно считать
не изменившимся с течением времени (
),
поэтому интегрирование уравнения (1) приводит к выражению
.
(2)
При вращении твердого тела относительно неподвижной оси изменение момента импульса
,
(3)
где
-
момент инерции маховика относительно оси Z;
-
изменение угловой скорости маховика.
Приравняв правые части равенств
(2) и (3), получим
,
откуда
.
(4)
Момент инерции маховика в виде сплошного диска определяется по формуле
.
Изменение угловой скорости
выразим через
конечную
и начальную
частоты вращения,
пользуясь соотношением
:
.
Поставив в формулу (4) выражения
и
,
получим
,
(5)
Проверим, дает ли расчетная формула единицу момента силы. Для этого в правую часть формулы вместо символов величин подставим их единицы:
.
Найденная единица
является единицей момента силы.
Подставим в (5) числовые значения
величин и произведем вычисления, учитывая, что
:
.
Знак “минус” показывает, что силы трения оказывают на маховик тормозящее действие.
ПРИМЕР 9. Платформа в виде сплошного
диска радиусом R=1,5м и массой
вращается по инерции около вертикальной оси с частотой
.
В центре платформы стоит человек массой,
.
Какую линейную скорость
относительно
пола помещения будет иметь человек, если он перейдет на край платформы.
РЕШЕНИЕ. Платформа вращается по
инерции. Следовательно, момент внешних сил относительно оси вращения Z, совпадающей
с геометрической осью платформы, равен нулю. При этом условии момент импульса
системы платформа
– человек остается постоянным:
,
(1)
где
-
момент инерции платформы с человеком относительно оси Z,
-
угловая скорость платформы.
Момент инерции системы равен
сумме моментов инерции тел, входящих в состав системы, поэтому
,
где
и
-
моменты инерции платформы и человека.
С учетом этого равенство (1) примет вид
,
или
,
(2)
где значение моментов инерции
и
относятся
к начальному состоянию системы;
и
- к конечному.
Момент инерции платформы относительно
оси Z при переходе человека не изменяется:
.
Момент инерции человека относительно той же оси будет изменяться. Если рассматривать
человека как материальную точку, то его момент инерции
в начальном положении (в центре платформы) можно считать равным нулю. В конечном
положении (на краю платформы) момент инерции человека
.
Подставим в формулу (2) выражение
моментов инерции, начальной угловой скорости вращения платформы с человеком
и конечной угловой скорости
(
, где
-
скорость человека относительно пола):
.
После сокращения на
и простых преобразований находим скорость
.
Произведем вычисления:
.
ПРИМЕР 10. Ракета установлена
на поверхности Земли для запуска в вертикальном направлении. При какой минимальной
скорости
, сообщенной
ракете при запуске, она удалится от поверхности Земли (R=6,37![]()
м)?
Всеми силами, кроме силы гравитационного взаимодействия ракеты и Земли, пренебречь.
РЕШЕНИЕ. Минимальную скорость ракеты
можно найти, зная ее минимальную кинетическую энергию
.
Для определения
воспользуемся законом сохранения механической энергии. Этот закон выполняется
для замкнутой системы тел, в которой действуют только консервативные силы. Систему
ракета – Земля можно считать замкнутой. Единственная сила, действующая на систему,
– гравитационная относится к разряду консервативных.
В качестве системы отчета выберем инерционную систему отсчета, так как только в такой системе справедливы законы динамики и, в частности, законы сохранения. Известно, что система отсчета, связанная с центром масс замкнутой системы тел, является инерционной. В данном случае центр масс системы ракета – Земля практически совпадает с центром Земли, так как масса Земли M много больше массы ракеты m. Следовательно, систему отсчета, связанную с центром Земли, можно считать инерциальной. Согласно закону сохранения механической энергии
,
(1)
где
,
и
,
- кинетическая
и потенциальная энергии системы ракета – Земля в начальном (на поверхности Земли)
и конечном (на расстоянии, равном радиусу Земли) состояниях.
В выбранной системе отсчета
кинетическая энергия Земли равна нулю. Поэтому
есть просто начальная кинетическая энергия ракеты:
.
Потенциальная энергия системы в начальном состоянии*
.
По мере удаления ракеты от поверхности Земли ее потенциальная энергия возрастает, кинетическая – убывает. В конечном состоянии кинетическая энергия Т станет равной нулю, а потенциальная энергия достигнет максимального значения:
.
Подставляя выражения
,
,
и
в (1), получаем
,
откуда
.
Заметив, что
(g – ускорение свободного падения у поверхности Земли), перепишем эту
формулу в виде
,
что совпадает с выражением для первой космической скорости. Произведем вычисления:
![]()
ПРИМЕР 11. Точка совершает гармонические
колебания с частотой
.
В момент, принятый за начальный, точка имела максимальное смещение:
.
Написать уравнение колебаний точки и начертить их график.
РЕШЕНИЕ. Уравнение колебаний точки можно записать в виде
,
(1)
или
,
(2)
где А – амплитуда колебаний,
- циклическая частота; t – время;
и
-
начальные фазы, соответствующие форме записи (1) или (2)
По определению, амплитуда колебаний
.
(3)
Циклическая частота
связана с частотой
соотношением
.
(4)
Начальная фаза колебаний зависит
от формы записи. В момент времени
формула
принимает вид
,
откуда начальная фаза
,
или
(к=0,1,2,…).
Изменение фазы на
не изменяет состояние колебательного движения, поэтому можно принять
.
(5)
При использовании формулы (2) для записи уравнения колебаний получаем
,
или
(к=0,1,2,3,…).
Аналогично находим
.
(6)
С учетом равенств (3) – (6) уравнения колебаний примет вид
,
или
,
где
;
,
График соответствующего гармонического колебания приведен на рис.5.

Рис.5
ПРИМЕР 12. Частица массой m=0,01
кг совершает гармонические колебания с периодом T=2 с. Полная энергия колеблющихся
частиц
.Определить амплитуду
А колебаний и наибольшее значение силы
,
действующее на частицу.
РЕШЕНИЕ. Для определения амплитуды колебаний воспользуемся выражением полной энергии частицы:
,
где
Отсюда амплитуда
.
(1)
Так как частица совершает гармонические
колебания, то сила, действующая на нее, является квазиупругой и, следовательно,
может быть выражена соотношением,
где к – коэффициент квазиупругой силы; x – смещение колеблющейся
точки. Максимальной силой будет при максимальном смещении
,
равном амплитуде:
.
(2)
Коэффициент к выразим через период колебаний:
(3)
Подставив выражения к и А в (2) и произведя упрощения, получим:
.
Произведем вычисления:
;
.
ПРИМЕР 13. Складываются два колебания одинакового направления, выраженные уравнениями:
![]()
где
Построить векторную диаграмму сложения этих колебаний и написать уравнение результирующего
колебания.
РЕШЕНИЕ. Для построения векторной
диаграммы сложения двух колебаний одного направления, надо фиксировать какой
– либо момент времени. Обычно векторную диаграмму строят для момента времени
. Преобразовав
оба уравнения к канонической форме,
получим:
,
.
Отсюда видно, что оба складываемых гармонических колебания имеют одинаковую циклическую частоту
.
Начальные фазы первого и второго колебаний соответственно равны:
,
.
Произведем вычисления:

Изобразим векторы
и
. Для этого
отложим отрезки длинной
и
под углами
и
к оси OX. Результирующее колебание будет происходить с той же частотой
и амплитудой А, равной
геометрической сумме амплитуд
и
: А =
. Согласно
теореме косинусов
.
Начальную фазу результирующего колебания можно также определить непосредственно из векторной диаграммы (рис.6):
.
Произведем вычисления:
![]()
,
или
.
Также как результирующее колебание является гармоническим, имеет ту же частоту, что и слагаемые колебания, то его можно записать в виде
![]()
где А=4,84см;
![]()

Рис.6
ПРИМЕР 14. Материальная точка участвует одновременно в двух взаимно перпендикулярных гармонических колебаниях, уравнения которых:
,
(1)
,
(2)
где
. Найти уравнение
траектории точки. Построить траекторию с соблюдением масштаба и указать направление
движения точки.
РЕШЕНИЕ. Чтобы определить траекторию
точки, исключим время из уравнений (1) и (2). Заметив, что
,
применим формулу косинуса половинного угла:
.
Используя это соотношение и отбросив размерности x и y, можно написать:
,
откуда
,
или
. (3)
Последнее уравнение представляет
собой уравнение параболы, ось которой совпадает с осью OX. Как показывают
уравнения (1) и (2), амплитуда колебаний точки по оси OX равна 1, а по
оси OY – 2. Следовательно, абсциссы всех точек траектории заключены в
пределах от -1 до +1, а ординаты – от -2 до +2. Для построения траектории найдем
по уравнению (3) значения y, соответствующее ряду значений x,
удовлетворяющих условию ![]()
| x |
|
x |
|
| -1 |
0 |
0 |
±1,41 |
| -0,75 |
±0,71 |
0,5 |
±1,73 |
| -0,5 |
±1 |
1 |
±2 |
Начертив координатные оси и выбрав единицу длины – сантиметр, построим точки. Соединив, их плавной кривой, получим траекторию результирующего колебания точки. Она представляет собой часть параболы, заключенной внутри прямоугольника амплитуды АВСD (рис.7).
Из уравнения (1) и (2) находим,
что период колебаний точки по горизонтальной оси
,
а по вертикальной оси
.
Следовательно, когда точка совершит одно полное колебание по оси OX,
она совершит только половину полного колебания по оси OY. В начальный
момент (t=0) имеем: x=1, у=2 (точка находится в положении
А). При t =1с получим: х=-1 и у=0 (точка находится
в вершине параболы). При t=2c получим: х=1 и у=-2 (точка
находится в положении D). После этого она будет двигаться в обратном направлении.

Рис.7
ПРИМЕР 15. Плоская волна распространяется
вдоль прямой со скоростью
. Две
точки, находящиеся на этой прямой на расстояниях
и
от источника
волн, колеблются с разностью фаз
.
Найти длину волны
,
написать уравнение волны и найти смещение указанных точек в момент t=1,2с, если
амплитуда колебаний А=0,1м.
РЕШЕНИЕ. Точки, находящиеся друг
от друга на расстоянии, равном длине волны
,
колеблются с разностью фаз, равной
;
точки, находящиеся друг от друга на любом расстоянии
,
колеблются с разностью фаз равной:
![]()
Решая это равенство относительно
, получаем
.
(1)
Подставив числовые значения величин, входящих в выражение (1), и выполнив арифметические действия, получим
.
Для того чтобы написать уравнение
плоской волны, надо еще найти циклическую частоту
.
Так как
,
- период колебаний, то
.
Произведем вычисления:
![]()
.
Зная амплитуду А колебаний,
циклическую частоту
и скорость
распространения волны, можно
написать уравнение плоской волны для данного случая:
,
(2)
где А=0,1м; ![]()
;
.
Чтобы найти смещение у указанных точек, достаточно в уравнение (2) подставить значения t и х:
;
![]()