Основные формулы
где
магнитная
проницаемость изотропной среды;
магнитная
постоянная. В вакууме
и тогда магнитная индукция в вакууме
![]()
Закон Био-Савара-Лапласа:
или ![]()
где
магнитная
индукция поля, создаваемого элементом проводника длиной
с током
: r – радиус-вектор,
направленный от элемента проводника к точке, в которой определяется магнитная
индукция;
угол между радиус-вектором
и направлением тока в элементе проводника.
Магнитная индукция в центре кругового тока:
![]()
где R – радиус кругового витка.
Магнитная индукция на оси кругового тока:

где h – расстояние от центра витка до точки, в которой определяется магнитная индукция.
Магнитная индукция поля прямого тока:
![]()
где
расстояние
от оси проводника до точки, в которой определяется магнитная индукция.
Магнитная индукция поля, создаваемого отрезком провода с током (рис.25,а):

Рис.25
Обозначения ясны из рисунка. Направление вектора магнитной индукции В обозначено точкой – это значит, что В направлен перпендикулярно плоскости чертежа к нам.
При симметричном расположении
концов провода относительно точки, в которой определяется магнитная индукция
(рис. 25,б)
тогда
![]()
Магнитная индукция поля соленоида:
![]()
где n – отношение числа витков соленоида к его длине.
Сила, действующая на проводник с током в магнитном поле (закон Ампера):
или ![]()
где l – длина проводника;
угол между направлением тока
в проводнике и вектором магнитной индукции В. Это выражение справедливо
для однородного магнитного поля и прямого отрезка проводника. Если поле неоднородно
и проводник не является прямым, то закон Ампера можно применить к каждому элементу
проводника в отдельности:
Сила взаимодействия параллельных проводов с током:
![]()
где d – расстояние между проводами.
Магнитный момент плоскости контура с током:
![]()
где n – единичный вектор нормали (положительной) к плоскости контура; I – сила тока, протекающего по контуру; S – площадь контура.
Механический (вращательный) момент, действующий на контур с током, помещенный в однородное магнитное поле:
или ![]()
где
угол между векторами
и В.
Потенциальная энергия (механическая) контур с током в магнитное поле:
или
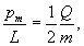
Отношение магнитного момента
к механическому
L (моменту импульса) заряженной частицы, движущиеся по круговой орбите:
![]()
где Q – заряд частицы; m – масса частицы.
Сила Лоренца:
или ![]()
где v – скорость заряженной
частицы;
угол
между векторами v и В.
Магнитный поток:
а) в случае однородного магнитного поля и плоской поверхности
или ![]()
где S – площадь контура;
угол между нормалью
к плоскости контура и вектором магнитной индукции:
б) в случае неоднородного поля и произвольной поверхности
![]()
(интегрирование ведется по всей поверхности).
Потокосцепление (полный поток):
![]()
Эта формула верна для соленоида и тороида с равномерной намоткой плотно прилегающих друг к другу N витков.
Работа по перемещению замкнутого контура в магнитном поле:
![]()
Э. д. с. индукции:
![]()
Разность потенциалов на концах проводника, движущегося со скоростью v в магнитном поле:
![]()
где l – длина проводника;
угол между векторами
v и B.
Заряд, протекающий по замкнутому контуру и при изменении магнитного потока, пронизывающего этот контур:
или ![]()
где R – сопротивление контура.
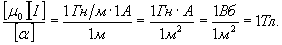
Индуктивность контура:
![]()
Э. д. с. самоиндукции:
![]()
Индуктивность соленоида:
![]()
где n – отношение числа витков соленоида к его длине; V – объем соленоида.
Мгновенное значение силы тока в цепи, обладающей сопротивлением R и индуктивностью L:
а)
(при замыкании цепи),
где
э.
д. с. источника тока; t – время, прошедшее с момента размыкания цепи;
б)
(при размыкании цепи),
где
сила
тока в цепи при t = 0; t – время, прошедшее с момента размыкания
цепи.
Энергия магнитного поля:
![]()
Объемная плотность энергии магнитного поля (отношение энергии магнитного поля соленоида к его объему):
или
или
где В – магнитная индукция; Н – напряженность магнитного поля.
ПРИМЕРЫ РЕШЕНИЯ ЗАДАЧ
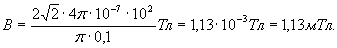
ПРИМЕР 1. По длинному прямому
тонкому проводу течет ток силой
Определить магнитную индукцию В поля, создаваемого проводником в точке, удаленной
от него на расстояние
РЕШЕНИЕ. Магнитное поле, создаваемое прямым бесконечно длинным проводником ничтожно малого сечения, обладает осевой симметрией. Это значит, что модуль вектора магнитной индукции в данной точке будет зависеть только от ее расстояния до проводника. Поэтому все точки на окружности радиусом r (рис. 26), лежащей в плоскости, перпендикулярной проводнику, будут характеризоваться одинаковой по модулю магнитной индукцией

Рис.26
(1)
где
магнитная
постоянная.
Направление вектора В зависит от положения точки на окружности и направление тока в проводнике. Этот вектор направлен по касательной к проведенной нами окружности (это следует из закона Био-Савара-Лапласа, записанного в векторной форме.) Окружность на рис. 26 является магнитной силовой линией. Ее направление (а значит, и направление вектора В) определяется по правилу правого винта:
Произведем вычисления:
![]()
ПРИМЕР 2. Два параллельных
бесконечно длинных провода D и С, по которым текут в одном направлении электрические
токи силой
расположены на расстоянии
друг от друга. Определить магнитную индукцию В поля, создаваемого проводниками
с током в точке А (рис. 27), отстоящей от оси одного проводника на расстоянии
от другого
-![]()

Рис.27
РЕШЕНИЕ. Для нахождения магнитной
индукции В в точке А воспользуемся принципом суперпозиции магнитных
полей. Для этого определим направления магнитных индукций
и
полей,
создаваемых каждым проводником с током в отдельности, и сложим их геометрически:
![]()
Модуль вектора В может быть найден по теореме косинусов:
(1)
где
угол
между векторами
и ![]()
Магнитная индукция
и
выражаются
соответственно через силу тока I и расстояние
и
от проводов
до точки А:
![]()
![]()
Подставляя выражения
и
в формулу
(1) и вынося
за знак корня, получаем
(2)
Вычислим
Заметив, что
(как углы с соответственно перпендикулярными сторонами), по теореме косинусов
запишем
![]()
где
расстояние
между проводами. Отсюда
![]()
Подставим в формулу (2) числовые значения физических величин и произведем вычисления:

ПРИМЕР 3. По проводу, согнутому
в виде квадрата со стороной
течет ток силой
Найти магнитную индукцию В в точке О пересечения диагоналей квадрата.
РЕШЕНИЕ. Расположим квадратный виток в плоскости чертежа (рис.28).

Рис.28
Согласно принципу суперпозиций магнитных полей
(1)
где
магнитные
индукции полей, создаваемых токами, протекающими по каждой стороне квадрата.
В точке О пересечения
диагоналей квадрата все векторы индукции будут направлены перпендикулярно плоскости
витка “к нам”. Кроме того, из соображений симметрии следует, что модули этих
векторов одинаковы:
Это позволяет векторное равенство (1) заменить скалярным:
(2)
Магнитная индукция поля, создаваемого отрезком прямолинейного провода с током, выражается формулой
(3)
Учитывая, что
и
(рис. 28),
формулу (3) можно переписать в виде
![]()
Подставив выражение
в формулу (2), найдем
![]()
Заметив, что
и
(так как
), получим
![]()
Проверим, дает ли расчетная формула единицу магнитной индукции. Для этого в правую часть формулу вместо символов величин подставим обозначения их единиц:
![]()
Найденная единица является единицей магнитной индукции.
Произведем вычисления:
![]()
ПРИМЕР 4. Плоский квадратный
контур со стороной
по которому течет ток силой
свободно установился в однородном магнитном поле (
).
Определить работу А, совершаемую внешними силами при повороте контура относительно
оси, проходящей через середину его противоположных сторон, на угол: 1)
2)
При
повороте контура сила тока в нем поддерживается неизменной.
РЕШЕНИЕ. Как известно, на контур с током в магнитном поле действует момент силы (рис. 29):

Рис.29
(1)
где
магнитный
момент контура; В – магнитная индукция;
угол
между векторами
(направлен по нормали к контуру) и В. По условию задачи в начальном положении
контур свободно установился в магнитном поле. При этом момент сил равен нулю
(М=0), а значит,
,
т.е векторы
и В сонаправлены. Если внешние силы выведут контур из положения равновесия,
то возникший момент сил [см. (1)] будет стремиться возвращать контур в исходное
положение. Против этого момента и будет совершаться работа внешними силами.
Так как момент сил переменный (зависит от угла поворота
),
то для подсчета работы применим формулу работы в дифференциальной форме
.
Учитывая формулу (1), получаем
.
Взяв интеграл от этого выражения, найдем работу при повороте на конечный угол:
.
(2)
Работа при повороте на угол
:
.
(3)
Выразим числовые значения величин
в единицах СИ:
![]()
и подставим в (3):
.
Работа при повороте на угол
. В этом случае,
учитывая, что угол
мал, заменим в выражении (2)
:
.
(4)
Выразим угол
в радианах. После подстановки числовых значений в (4) найдем
.
Задачу можно решить и другим способом. Работа внешних сил по перемещению контура с током в магнитном поле равна произведению силы тока в контуре на изменение магнитного потока через контур:
![]()
где
магнитный
поток, пронизывающий контур до перемещения:
то
же, после перемещения.
Если
,
то
. Следовательно,
что совпадает
с (3).
ПРИМЕР 5. Электрон, пройдя
ускоряющую разность потенциалов
,
попал в однородное магнитное поле напряженностью
.
Определить радиус R кривизны траектории и частоту n обращения электрона в магнитном
поле. Вектор скорости перпендикулярен линиям поля.
РЕШЕНИЕ. Радиус кривизны траектории
электрона определим, исходя из следующих соображений: на движущийся в магнитном
поле электрон действует сила Лоренца
(действием силы тяжести можно пренебречь). Сила Лоренца перпендикулярна вектору
скорости, следовательно, сообщает электрону нормальное ускорение. По второму
закону Ньютона
,
где
норма, или
,
(1)
где е – элементарный заряд;
скорость электрона;
В – магнитная индукция; m – масса электрона; R – радиус
кривизны траектории;
угол
между вектором v и B (в данном случае
и
).
Из формулы (1) найдем
.
(2)
Входящий в равенство (2) импульс
может быть выражен
через кинетическую энергию Т электрона:
.
(3)
Но кинетическая энергия электрона, прошедшего ускоряющую разность потенциалов U, определяется равенством
.
Подставив выражение Т в формулу (3), получим
.
Магнитная индукция В может быть выражена через напряженность Н поля в вакууме:
,
где
магнитная
постоянная.
Подставив выражения В
и
в формулу (2), определим
.
(4)
Произведем вычисления:
.
Для определения частоты обращения воспользуемся формулой, связывающей частоту со скоростью и радиусом:
.
(5)
Подставив в формулу (5) выражение (2), получим
,
или
.
Произведем вычисления:
.
ПРИМЕР 6. В однородном магнитном
поле (
) равномерно
с частотой
вращается рамка, содержащая
,
плотно прилегающие друг к другу. Площадь S рамки равна 150
.
Определить мгновенное значение э. д. с. индукции
,
соответствующего угла
поворота рамки, равному
.
РЕШЕНИЕ. Мгновенное значение э.
д. с. индукции
определяется основным уравнением электромагнитной индукции Фарадея-Максвелла:
,
(1)
где
потокосцепление.
Потокосцепление
связано с магнитным потоком Ф и числом N витков, плотно прилегающих
друг к другу, соотношением
.
(2)
Подставляя выражения
в формулу (1), получаем
.
(3)
При вращении рамки (рис. 30) магнитный поток Ф, пронизывающий рамку в момент времени t, определяется соотношением:

Рис.30
,
где В – магнитная индукция;
S – площадь рамки;
круговая
(или циклическая) частота.
Подставив в формулу (2) выражение Ф и продифференцировав полученное выражение по времени, найдем мгновенное значение э. д. с. индукции:
.
(4)
Круговая частота
связана с частотой вращения n соотношением
.
Подставляя выражение
в формулу (3) и заменив
на
, получим
.
Произведем вычисления:
.
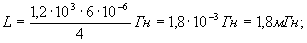
ПРИМЕР 7. Соленоид с сердечником
из немагнитного материала содержит
витков провода, плотно прилегающих друг к другу. При силе тока
магнитный поток
.
Определить индуктивность L соленоида и энергию W магнитного поля соленоида.
РЕШЕНИЕ. Индуктивность L связана
с потокосцеплением
и силой тока I соотношением.
.
(1)
Потокосцепление, в свою очередь, может быть определено через поток Ф и число витков N (при условии, что витки плотно прилегают друг к другу):
.
(2)
Из формул (1) и (2) находим индуктивность соленоида:
.
(3)
Энергия магнитного поля соленоида:
.
Выразив L согласно (3), получим
(4)
Подставим в формулу (3) и (4) значения физических величин и произведем вычисления:
![]()
.