1. Являются ли следующие предложения высказываниями?

  1. Новосибирск расположен на берегах реки Оки.
  2. Завтра будет дождь.
  3. Вступайте в профсоюз!
  4. 3 < 5
  5. Физику я скорее всего не сдам.
  6. Береза и осина являются вечнозелеными растениями.

2.Является ли следующее рассуждение верным?

Если Джон не встречал этой ночью Смита, то либо Смит был убийцей, либо Джон лжет. Если Смит не был убийцей, то Джон не встречал Смита этой ночью, и убийство произошло после полуночи. Если убийство произошло после полуночи, то либо Смит был убийцей, либо Джон лжет. Следовательно, убийцей был Смит.

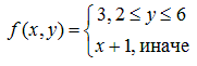
3. Минимизировать функцию.

4. Являются ли формулами ИВ выражения:

5. Проверьте правильность рассуждений:

Если 2 – простое число, то это наименьшее простое число. Если 2 – наименьшее простое число, то 1 не есть простое число. Число 1 не есть простое число. Следовательно, 2 – простое число.

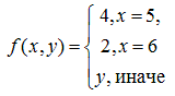
6. Минимизировать функцию.

7. Являются ли формулами ИВ выражения:

8. Проверьте правильность рассуждений:

Если все стороны четырехугольника равны между собой, то он является ромбом. Если четырехугольник является ромбом, то его диагонали перпендикулярны. Все стороны четырехугольника равны между собой. Следовательно, его диагонали перпендикулярны.

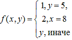
9. Минимизировать функцию.

10. Являются ли доказательством (выводом) в ИВ следующие последовательности формул:

11. Проверьте правильность рассуждений:

Если противоположные стороны четырехугольника попарно равны, то он является параллелограммом. Четырехугольник является параллелограммом тогда и только тогда, когда его диагонали делятся в точке пересечения пополам. Противоположные стороны четырехугольника попарно равны. Следовательно, его диагонали точкой пересечения делятся пополам.

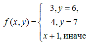
12. Минимизировать функцию.

13. Являются ли доказательством (выводом) в ИВ следующие последовательности формул:

14. Проверьте правильность рассуждений:

Иванов не сделает эту работу, если ее сделает Петров. Петров и Сидоров сделают эту работу в том и только том случае, если ее сделает Иванов. Сидоров эту работу сделает, а Иванов нет. Следовательно, Петров не сделает эту работу.

15. Минимизировать функцию.

16. Будут ли следующие выражения формулами? И если это формулы, то какие переменные в них являются свободными, а какие связанными?

17. Проверьте правильность рассуждений:

Иванов не сделает эту работу, если ее сделает Петров. Петров и Сидоров сделают эту работу в том и только том случае, если ее сделает Иванов. Сидоров эту работу сделает, а Иванов нет. Следовательно, Петров не сделает эту работу.

18. Минимизировать функцию.

19. Будут ли следующие выражения формулами? И если это формулы, то какие переменные в них являются свободными, а какие связанными?

20. Переведите данное рассуждение в логическую символику и проверьте его правильность.

Иванов не сделает эту работу, если ее сделает Петров. Петров и Сидоров сделают эту работу в том и только том случае, если ее сделает Иванов. Сидоров эту работу сделает, а Иванов нет. Следовательно, Петров не сделает эту работу.

21. Минимизировать функцию.

22. Являются ли следующие предложения высказываниями:

  1. Москва расположена на берегах реки Оки.
  2. Сегодня идет дождь.
  3. Все на лыжи!
  4. Физика – сложный предмет.
  5. От осины не растут апельсины.

23. Является ли следующее рассуждение верным:

Если бы он ей не сказал, она ни за что не узнала бы. А не спроси она его, он бы и не сказал ей. Но она узнала. Значит, она его спросила.

24. Минимизировать функцию.

25. Являются ли формулами ИВ выражения:

26.Проверьте правильность рассуждений:

Если он принадлежит к нашей компании, то он храбр и на него можно положиться. Он не принадлежит к нашей компании. Значит, он не храбр или же на него нельзя положиться.

27. Минимизировать функцию.

28. Являются ли формулами ИВ выражения:

29.Проверьте правильность рассуждений:

Если подозреваемый совершил эту кражу, то либо она была тщательно подготовлена, либо он имел соучастника. Если бы кража была подготовлена тщательно, то, если бы был соучастник, украдено было бы гораздо больше. Значит, подозреваемый невиновен.

30. Минимизировать функцию.

31. Являются ли доказательством (выводом) в ИВ следующие последовательности формул:

32.Проверьте правильность рассуждений:

Намеченная атака удастся, только если захватить противника врасплох или же если позиции его плохо защищены. Захватить его врасплох можно только, если он беспечен. Он не будет беспечен, если его позиции плохо защищены. Значит, атака не удастся.

33. Минимизировать функцию.

34. Являются ли доказательством (выводом) в ИВ следующие последовательности формул:

35. Проверьте правильность рассуждений:

Иванов не сделает эту работу, если ее сделает Петров. Петров и Сидоров сделают эту работу в том и только том случае, если ее сделает Иванов. Сидоров эту работу сделает, а Иванов нет. Следовательно, Петров не сделает эту работу.

36. Минимизировать функцию.

37. Будут ли следующие выражения формулами? И если это формулы, то какие переменные в них являются свободными, а какие связанными?

38. Проверьте правильность рассуждений:

Иванов не сделает эту работу, если ее сделает Петров. Петров и Сидоров сделают эту работу в том и только том случае, если ее сделает Иванов. Сидоров эту работу сделает, а Иванов нет. Следовательно, Петров не сделает эту работу.

39. Минимизировать функцию.

40. Будут ли следующие выражения формулами? И если это формулы, то какие переменные в них являются свободными, а какие связанными?

41. Переведите данное рассуждение в логическую символику и проверьте его правильность.

Если 2 – простое число, то это наименьшее простое число. Если 2 – наименьшее простое число, то 1 не есть простое число. Число 1 не есть простое число. Следовательно, 2 – простое число.

42. Минимизировать функцию.