1 Основные определения и понятия
2 Различные обходы двоичных деревьев
3 Вычисление основных характеристик дерева
Определим двоичное дерево следующим образом :
Пример двоичного дерева приведен на следующем рисунке.
Рисунок 1 - Пример двоичного дерева Б
Вершины дерева обозначаются кружочками, связи между вершинами стрелками.
Каждая вершина дерева может содержать какую-либо информацию. Выделенная вершина дерева называется корнем. Концевые вершины дерева, не имеющие поддеревьев, называются листьями. Дуги ориентированы по направлению от корня к листьям. Путь от корня к листу называется ветвью. Под длиной ветви будем понимать число входящих в неё вершин. Высота дерева h определяется как число вершин в самой длинной ветви дерева. Размер дерева - число входящих в него вершин. Средней высотой дерева называется усредненная по количеству вершин в дереве сумма длин путей от корня к каждой вершине.
Приведем некоторые свойства двоичных деревьев.
Свойство 1. Максимальное число вершин в двоичном дереве высоты h равно
nmax(h)= 2h - 1
Свойство 2. Минимально возможная высота двоичного дерева с n вершинами равна hmin(n) = [log(n+1)]
При разработке алгоритмов для работы с деревьями будем считать, что каждая вершина содержит некоторые данные и указатели на вершины слева и справа. Поэтому вершина дерева это переменная специального типа. В качестве заголовка для дерева используем переменную Root, указывающую на корень.
type pVertex = ^tVertex;
Vertex =record; tData: integer;
Left: pVertex;
Right: pVertex;
end;
VAR Root: pVertex;
При решении многих задач, связанных с деревьями, часто возникает необходимость перебрать все вершины дерева или совершить обход дерева, чтобы выполнить некоторые действия с каждой вершиной дерева.
Существуют три основных порядка обхода дерева:
): корень,
левое поддерево, правое поддерево.
): левое
поддерево, корень, правое поддерево.
): левое
поддерево, правое поддерево, корень.

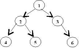
Рисунок 2
Пример: . Совершить обход слева направо для двоичного дерева, изображенного на рисунке 28.
Результат обхода: 4 2 5 1 3 6 Обходы легко программируются с помощью рекурсивных процедур.
Алгоритм на псевдокоде
Обход слева направо(p: pVertex)
IF(p
NIL)
  Обход слева направо (p
Left)
  Печать(p
Data)
  Обход слева направо (p
Right)
FI
Приведем алгоритмы для вычисления различных
характеристик двоичных деревьев.
Определение размера дерева
Алгоритм на псевдокоде
Размер(p:pVertex)
IF(p = NIL) := 0
 ELSE Размер := 1 + Размер (p
Left)+ Размер (p
Right)
FI
Определение высоты дерева
Алгоритм на псевдокоде
Высота(p:pVertex)
IF(p = NIL) Высота := 0
  ELSE Высота := 1+ max(Высота(p
Left), Высота(p
Right))
FI
Определение средней высоты дерева
Для определения средней высоты дерева понадобится функция вычисления суммы длин путей от корня до каждой вершины на L-том уровне.
Алгоритм на псевдокоде
СДП (p: pVertex; L: уровень вершины)
IF (p = NIL) СДП:= 0
  ELSE
СДП:= L + СДП(p
Left, L+1) + СДП(p
Right, L+1)
FI
Тогда средняя высота вычисляется следующим образом
hcp
:= СДП(Root, 1)/ Размер(Root)
Определение контрольной суммы для дерева
Алгоритм на псевдокоде
Сумма (p:pVertex)
IF (p = NIL) Сумма:= 0
  ELSE Сумма:=p
Data + Сумма(p
Left)+ Сумма(p
Right
)
FI